摘要:绿色技术创新是促进经济可持续发展和助力碳达峰碳中和的重要途径。环境保护税作为环境规制的重要工具,对于提升企业绿色技术创新起到重要作用。本文采用2014-2022年A股上市公司面板数据,并构建双重差分模型实证检验我国环境保护税对企业绿色技术创新的影响效应。研究发现:环境保护税对重污染上市公司的绿色技术创新水平有显著促进作用;对以绿色实用新型专利为表征的绿色技术创新数量有显著促进作用,但对于以绿色发明专利为表征的绿色技术创新质量促进作用不显著。考察公司异质性发现环境保护税主要激励了国有性质、大规模公司的绿色技术创新。环境保护税可以通过促进公司加大在研发方面的投入来提升自身绿色技术创新水平。相关研究能够为政府部门制定相关政策提供理论参考。
关键词:环境保护税;绿色技术创新;研发投入;双重差分模型
作者简介:陈国政(1972-),男,湖南涟源人,上海社会科学院经济研究所,研究员,研究方向:上市公司景气与治理;林芳羽(1997-),女,广西玉林人,上海社会科学院经济研究所,硕士研究生,研究方向:人口、资源与环境经济;*伏开宝(1979-),男,江苏灌云人,嘉兴南湖学院现代金融学院,经济学博士,研究方向:产业经济学、科技创新。
收稿日期:2024-6-7
一、引言
党的二十大报告中提到:“必须牢固树立和践行绿水青山就是金山银山的理念,站在人与自然和谐共生的高度谋划发展。”《“十四五”生态环境领域科技创新专项规划》中明确提出,要加快绿色技术创新,构建绿色技术创新体系,推动经济社会发展全面绿色转型。习近平总书记指出:“绿色发展是高质量发展的底色,新质生产力本身就是绿色生产力。”推动绿色发展是未来经济高质量发展的必然要求,必须加快推动发展方式转型。绿色发展离不开绿色技术创新,绿色技术创新是促进经济可持续发展和助力碳达峰碳中和的重要途径,需要以绿色技术创新赋能绿色低碳发展。因此,探寻如何提升绿色技术创新水平的有效路径为学者所广泛关注。
环境规制作为政府部门调节市场和企业行为的重要手段,对企业经营活动产生重大影响,同时也是推动企业绿色技术创新的重要因素,各国政府将环境规制作为推进绿色发展的重要手段。2018年中国开始征收的环境保护税作为环境规制的重要工具,使得上市公司经营的外部政策环境发生重大变化,通过约束与激励机制引导企业进行绿色技术创新。上市公司作为经济活动最具有活力的微观主体,是中国经济高质量发展的重要载体,在推进环境保护和绿色技术进步方面起到重要作用。本文对环境保护税影响上市公司绿色技术创新的作用机制进行分析,并对其作用机制进行实证检验,研究分析环境保护税的政策效应,为探索提升企业绿色技术创新提供支撑,对于实现经济高质量发展和实现双碳目标具有重要理论和实践意义。
二、文献综述
关于环境规制和作为环境规制重要工具的环境保护税相关研究较为丰富,其与技术创新之间关系研究结论主要有以下三个方面:第一,环境规制会对绿色技术创新产生激励作用。Porter(1991)研究提出环境规制能够有效促进企业创新,提升技术水平。Hamamoto(2006)在研究环境规制政策在日本的实施效果时,发现环境规制对绿色创新可以产生积极作用。Rubashkina(2015)研究美国制造行业时发现环境保护税对技术创新具有激励作用。李青原和肖泽华(2021)的研究发现排污费制度可以激励我国重污染上市公司的绿色技术创新能力。于连超等(2021)发现我国环境保护税政策较原先的排污费制度,能够加强重污染企业面对的环境合法性压力,从而促进企业绿色创新,且融资约束弱和内部控制质量高的企业受到的激励作用更显著。张国兴等(2021)分别对三种不同类型的环境规制政策进行了研究,发现三种政策都能促进企业技术创新,但是存在异质性,命令型政策效果时效短,市场型政策效果时效较长。第二,环境规制会对绿色技术创新产生抑制作用。Chintrakarn(2008)用美国制造业数据验证了环境规制对技术创新存在抑制效应。Wagner(2007)以德国制造业为研究对象,研究发现环境保护税减少了企业的专利申请量,表明抑制效应在德国也得到验证。赵爱武等(2016)的研究发现征收较低的环境税并不能实现企业环境技术的创新。张彩云和吕越(2018)研究发现环境规制会产生更大的遵循成本效应,不利于企业技术创新。骆海燕等(2020)研究表明较低的环保税不能提升企业技术创新水平。第三,两者之间的关系不确定。Boyd和McClelland(1999)发现环境规制与企业技术创新产出之间的关系并不唯一,正相关与负相关可同时存在。张成等(2011)通过对我国省际工业部门的数据进行分析,发现随着环境规制强度不断增加,企业通过创新技术降低经营成本的意愿先减弱后增强,相应的技术创新水平也先降后升,即两者之间存在正“U”型关系。Krass等(2013)研究认为一家公司对环境税率的反应通常是非单调的,最初的增税可能会促使企业转向更环保的绿色技术,但进一步的增税也可能会促使企业减少选择绿色技术。李香菊等(2018)基于我国省际面板数据进行分析,发现环境保护税与企业技术创新之间的关系更接近倒“U”型。
综上所述,国外关于环境保护税和绿色技术创新二者之间关系的研究较为丰富;国内关于环境规制政策与绿色技术创新方面的研究,大多数是基于排污收费制度等其他环境规制政策进行的,由于我国于2018年才正式开始实施环境保护税,关于其和绿色技术创新方面的相关研究文献还不够丰富。相关研究仅从单一角度衡量绿色技术创新,较少从技术创新数量和质量的视角探究环境保护税对绿色技术创新的影响效应。基于此,本文首先从理论上分析环境保护税对企业绿色技术创新的影响作用机制;其次,构建计量模型实证检验环境保护税的实施对上市公司绿色技术创新的影响效应,检验环境保护税的实施能否提升绿色技术创新水平,并从绿色技术创新数量和质量两个维度出发,检验其能否真正带来绿色技术创新质量的提高,并对环境保护税对绿色技术创新的作用机制进行检验。相关研究具有的一定的理论与实践意义。
三、理论分析与假设提出
(一)环境保护税可以促进企业绿色技术创新
Porter和Linde(1995)提出,政府制定适当的环境保护政策可以促进企业改进生产技术和进行研发创新,进而提高企业的生产效率和资源利用率。
其一,当企业面临新增的环境税收成本时,企业总成本由环境遵循成本和生产成本构成,单位产品成本等于单位环境成本加单位生产成本。绿色技术创新能使得企业产品的生产过程污染更少和资源利用效率更高,可以降低单位产品环境遵循成本和单位产品生产成本,进而降低生产总成本和提升利润水平。长期来看,理性的企业为了维持竞争优势和发展能力会选择进行技术创新。
其二,环境保护税的约束与激励机制。一是企业面临环境合法性压力,如果企业未能按照法律要求降低污染物排放甚至超额排放,企业将会受到政府的严惩,甚至将面临停业关闭。二是政府设立了税收优惠规定。重污染企业进行绿色技术创新可以直接减轻其环境成本压力,带来较大的节税效应,增大税后利润收入,保障研发投入的稳定。此外,政府还对进行绿色技术创新的企业给予专项的研发补助,企业进行绿色技术创新,可以获得政府的税收优惠和研发补助。
其三,随着时代的变迁,人民环保意识得到提升,不再满足于基本的物质需求,有了更高的美好生活需求,涵盖了对优美生态环境的需求。“绿色”消费者对具有“绿色烙印”的产品具有明显偏好,更倾向购买绿色企业生产的商品。这一信号可以通过市场传递至企业,企业为了满足当前消费者的“绿色”需求,会选择更改发展策略,进行绿色技术创新。其次,企业享受绿色税收优惠还能向投资者传达利好的信号,因为获得绿色税收减免的企业往往更具有发展前景,更符合时代的需求,是政府重点扶持的企业,这在一定程度上缓解外部投资者和企业内部之间的信息不对称,提升了企业获得外部融资的可能性。此外,保护环境已经成为全社会的共同事业,对于勇于承担环境责任的企业,媒体的正面报道可以提升企业社会形象,媒体的高度关注也给企业带来了环境合法的舆论压力,这都将驱动企业选择绿色技术创新。
基于上述分析,提出假设1:环境保护税对上市公司的绿色技术创新起到提升作用。
(二)环境保护税能够促进上市公司增大研发投入
进一步考察环境保护税对企业绿色技术创新的作用渠道。在新经济增长理论中,强调了技术进步对经济的促进作用,人力资本和研发资金的投入,都可以使得经济保持增长。研发人力和资金投入是影响技术进步的重要因素。相瑞兵等(2023)研究发现市场型环境规制可以促进企业的研发投入。环境保护税等规制工具能够倒逼企业为了满足环境规制的要求加大研发投入,加大研发资金和研发人才投入,提升企业创新活力和创新能力,积极开发新技术和开发新产品,提升企业绿色创新水平。因此,本文认为研发投入是环境保护税和绿色技术创新之间的中介变量。具体地,研发投入可以分为研发人力投入和研发资金投入。
基于此,本文提出假设2:环境保护税会促进上市公司提高研发投入,进而对绿色技术创新产生积极的影响。
四、模型构建与变量解释
(一)模型设定
1.基准回归模型
本文采用双重差分模型考察环境保护税对上市公司绿色技术创新的影响效应。考虑到环境保护税政策主要针对重污染行业,借鉴程博等(2021)、于连超等(2021)等的做法,将受到环境保护税政策影响更大的重污染行业的上市公司作为处理组,选择受到该项政策影响较小的其他行业的上市企业作为对照组。对于重污染行业的划分,本文借鉴潘爱玲等(2019)的做法,选取了十五个行业的企业作为重污染企业样本 。
具体而言,本文的第一重差分为时间维度,即以2018年政策正式实施前后作为分界,第二重差分为企业的污染程度,由此设定本文回归模型:
lnGreit=α0+α1pollutit×Timeit+βXit+Yeart+γi+εit(1)
其中,lnGreit为绿色技术创新水平。i和t分别表示公司和年份。pollutit是0-1变量,重污染公司取值为1,否则取值为0;Timeit是0-1变量,2018年政策实施当年及之后的年份Timeit取值为1,否则取值为0;pollutit×Timeit是模型核心解释变量,其估计系数大小和符号代表环境保护税政策对绿色技术创新的作用效果。Xit表示一系列公司层面的控制变量;Yeart代表年份的固定效应;γi代表公司的个体固定效应;εit是随机扰动项。
2.中介效应检验模型
由于传统的中介效应三步检验法中第二步回归方程中可能存在内生性问题,本文参考江艇(2022)的做法,对后续的作用渠道进行检验。具体而言,第一步,先将被解释变量Y对解释变量D回归,证明D对Y的因果关系是显著的,等价于前文的基准回归;第二步,根据经济学相关理论以及已有的文献研究,发现一个或者几个中介变量M对于被解释变量Y的作用是显著的,此时不需要进行再将Y对M进行实证回归,因为从现有的研究中可以得出M对Y的影响是显而易见的;第三步,采用和第一步同样的回归方法来识别解释变量D对中介变量M的因果关系,如果该回归系数显著,则所需分析的作用渠道得证。这一方法,也是现有文献较常采用的机制检验法之一(Chen et al.,2020)。
为了验证假设2,本文分别以研发资金投入和研发人数作为中介变量构造模型(2)和模型(3),并结合模型(1)进行检验:
lnRDit=α0+α1pollutit×Timeit+βXit+Yeart+γi+εit(2)
lnRDPit=α0+α1pollutit×Timeit+βXit+Yeart+γi+εit(3)
其中,下标i和t分别表示公司和年份,被解释变量lnRDit定义为公司的研发投入金额总数取自然对数,被解释变量lnRDPit定义为公司的研发人员总数取自然对数;其余变量的定义与模型(1)相同。
(二)变量选取
1.被解释变量:绿色技术创新水平
我国专利类型可以分为发明专利、实用新型专利和外观设计专利三大类,其中发明专利是创新水平最高的、研发难度最强的专利,其最能反映公司的核心技术竞争能力。借鉴李青原和肖泽华(2020)等的做法,本文采用绿色发明专利和实用新型专利申请量之和作为上市公司的绿色技术创新水平的替代变量。参考黎文婧和郑曼妮(2016)、宋德勇等(2021)等学者的做法,分别采用绿色发明专利申请数量和绿色实用新型专利申请量来度量绿色技术创新的质量水平和数量水平,并对相关数据加1后再取自然对数,以消除绿色专利数据的右偏分布对实证结果产生的干扰。
2.核心解释变量:pollut和Time两个虚拟变量的交乘项pollut×Time
当样本为重污染行业的公司时pollut=1,否则为0;2018年环保税实施之前年份虚拟变量Time取值为0,实施的当年及之后年份取值为1。如pollut和Time取值均为1,pollut×Time取值为1,否则为0。
3.中介变量:创新投入
本文分别选取了上市公司的研发投入金额总数和研发人员人数两个维度来测度其研发投入情况,并采取自然对数的方式来避免极端值产生的干扰。
4.控制变量
本文选取了如下公司层面的特征变量:企业年龄、企业规模、净资产收益率、资产负债比率、托宾Q值、独立董事占比情况、第一大股东持股比例等作为控制变量。
表1主要变量定义
| 变量名称 | 变量符号 | 变量定义 |
被解释变量 | 绿色专利申请总量 | lnGre | ln(绿色发明专利申请量+绿色实用新型专利申请量+1) |
绿色发明专利申请数量 | lnGreIn | In(绿色发明专利申请量+1) | |
绿色实用新型专利申请数量 | lnGreUm | In(绿色实用新型专利申请数量+1) | |
绿色专利授权总量 | lnGre2 | ln(绿色发明专利授权量+绿色实用新型专利授权量+1) | |
核心解释变量 | 分组虚拟变量×时间虚拟变量 | pollut×Time | 当且仅当重污染公司和2018年及以后取1,否则为0 |
中介变量 | 公司研发资金支出 | lnRD | 研发支出总金额取自然对数 |
公司研发人员人数 | lnRDP | 研发人员总数取自然对数 | |
控制变量 | 公司年龄 | lnAge | 当年年份减去公司成立年份取自然对数 |
公司规模 | lnSize | 公司员工数量取自然对数 | |
净资产收益率 | ROE | 净利润/股东权益余额 | |
资产负债比率 | Lev | 负债总额/资产总额 | |
托宾Q值 | TBQ | 公司市值/资产总额 | |
独立董事占比 | Inde | 独立董事人数/董事会总人数 | |
| 第一大股东持股比例(%) | Top1 | 第一大股东持有的股份/公司总股份 |
(三)样本选取与数据来源
本文选取沪深A股上市公司作为研究对象,样本区间选取为2014年至2022年。绿色专利申请量和授权量数据来源于中国研究数据服务平台(CNRDS),其他数据来源于国泰安数据库(CSMAR)。参照王馨和王营(2021)等做法,样本数据剔除金融、保险、房地产行业公司、ST、*ST和PT公司、资产负债率大于1和小于0的样本;并删除存在相关变量遗漏的样本。
五、实证结果与分析
(一)基准回归
1.平行趋势检验
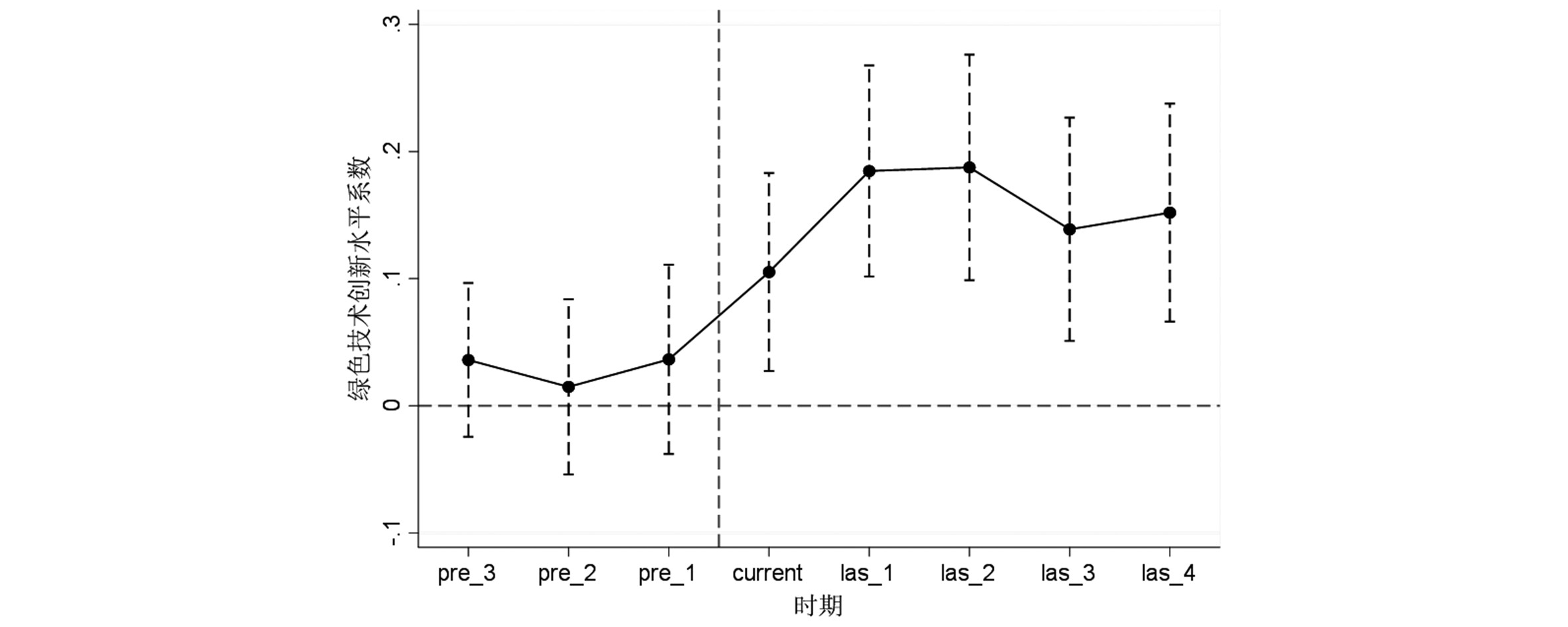
双重差分估计量一致性的成立需要通过平行趋势检验,即在没有受到环境保护税政策的冲击之前,实验组和控制组的绿色技术创新水平应该是没有系统性差异的,两组样本的时间趋势总体上是一致的;在政策实施之后两组的绿色技术创新水平会出现趋势上的显著性改变,否则,可以认为重污染组公司的绿色技术创新水平的改变不是因为环境保护税政策的开征导致的。因此,为了检验这一假设是否在本文所选择的样本中成立,本文借鉴刘金科和肖翊阳(2022)、陶锋等(2021)所采用的事件研究法(Event-study),进行平行趋势检验。
从图1检验结果可知,在2018年环境保护税正式实施前,作为实验组的重污染行业上市公司和作为控制组其他行业上市公司的绿色技术创新水平并不存在显著差异,表明本文基准模型平行趋势检验条件得到满足。
图1 平行趋势检验

2.基准模型回归结果分析
表2是采用双重差分模型估计的回归结果,所有回归分析都采用了公司层面的聚类调整标准误差,并引入公司个体固定效应和年份固定效应。列(1)为未加入控制变量的环境保护税政策对绿色技术创新的影响效应,pollut×Time系数为0.118且显著,列(2)是在加入控制变量的情况下,pollut×Time交互项的估计系数为0.132,且在1%的水平下显著,两个系数的变化幅度不大,这在一定程度上表明本文的实证结果是较为稳健的。结果表明环境保护税能够显著促进上市公司绿色技术创新水平,本文的假设1得证。
表2环境保护税的开征对公司绿色技术创新的政策效应
| (1) | (2) | (3) | (4) |
| lnGre | lnGre | lnGreIn | lnGreUm |
pollut×Time | 0.118***(0.033) | 0.132***(0.032) | 0.038(0.028) | 0.177***(0.028) |
lnSize |
| 0.288***(0.025) | 0.212***(0.022) | 0.209***(0.019) |
lnAge |
| -0.059(0.175) | -0.043(0.166) | 0.063(0.142) |
ROE |
| 0.002(0.002) | 0.000(0.001) | 0.003*(0.001) |
Lev |
| 0.017(0.071) | -0.005(0.060) | 0.034(0.059) |
TBQ |
| 0.002***(0.000) | 0.001***(0.000) | 0.001***(0.000) |
Top1 |
| 0.001(0.002) | 0.001(0.001) | 0.001(0.001) |
Inde |
| 0.003(0.002) | 0.001(0.002) | 0.002(0.002) |
年份固定效应 | YES | YES | YES | YES |
企业固定效应 | YES | YES | YES | YES |
常数项 | 0.655***(0.014) | -1.527***(0.527) | -1.135**(0.495) | -1.460***(0.426) |
观测值 | 20355 | 19815 | 19815 | 19815 |
R2 | 0.111 | 0.14 | 0.1 | 0.11 |
注:*、**、***分别表示在10%、5%、1%水平上显著,括号内是聚类到公司层面的聚类调整标准误差,下同。
从绿色专利申请的数量维度来看,列(4)为环境保护税的开征对公司绿色实用新型专利申请数量的影响。pollut×Time交互项的估计系数为0.177,在1%的水平下显著为正,表明相较于非重污染行业的公司,环境保护税的开征使得重污染行业公司的绿色实用新型专利申请量提高了17.7%。但是,从绿色专利申请的质量维度来看,列(3)为环境保护税对企业绿色发明专利申请数量的作用结果,pollut×Time交互项的估计系数为0.038,但是不显著,这表明环境保护税的开征未能显著提升绿色技术创新的质量。
上述分析表明环境保护税对于重污染行业绿色技术创新水平具有“增量足,提质弱”的特点。这可能是因为,发明专利申请的技术要求和成本投入高于实用型专利,部分上市公司特别是规模较小的非国有上市公司为了应对我国环境保护税的开征,选择采取了一些短期见效快的实用绿色创新,比如为了应对自身绿色税收的提高而带来的生产成本压力的提升,重污染公司可能会被动地提高自身环保投资额,从末端治理的角度对污染排放物进行处理,而不是从源头出发对生产工艺和生产设备等进行绿色技术升级改造等,这种行为不是具有长期发展效应的“绿色发明创新”,不利于公司通过绿色技术创新获取竞争优势。同时,绿色发明专利主要集中在部分东部和中部省份,绝大部分行业绿色专利的增长来源于实用新型专利,绿色发明专利在一些行业甚至有所下降(王班班、赵程,2019)。因而,造成环境保护税对于绿色技术创新水平影响效应存在量和质的差异性。
(二)稳健性检验
为进一步验证上述回归结果的稳健性,本文分别采用缩短样本区间、更换被解释变量、采用倾向得分匹配法、排除碳交易试点政策的干扰和安慰剂检验等方法进行稳健性检验。回归结果如表3所示,变量pollut×Time回归系数皆在1%水平下显著为正。
表3稳健性检验
| 缩短样本区间 | 更换为绿色授权专利 | 采用PSM-DID模型 | 排除碳交易试点政策的干扰 |
| lnGre | lnGreAc | lnGre | lnGre |
pollut×Time | 0.132*** | 0.126*** | 0.132*** | 0.174*** |
| (0.032) | (0.03) | (0.032) | (0.038) |
控制变量 | YES | YES | YES | YES |
年份固定效应 | YES | YES | YES | YES |
企业固定效应 | YES | YES | YES | YES |
常数项 | -0.626 | -1.906*** | -1.527*** | -1.739** |
| (0.97) | (0.475) | (0.527) | (0.7) |
观测值 | 11092 | 19514 | 19815 | 11877 |
R2 | 0.101 | 0.172 | 0.14 | 0.146 |
本文借鉴Li et al.(2016)、卢盛峰等(2021)等学者的做法,随机“抽取”重污染企业并随机产生政策的实施时间,即从政策实施时间—企业分组两个层面同时进行随机实验,得到随机赋值的虚假交互项,回归后得到虚构交互项系数,将上述过程重复500次,可以得到500个估计系数以及其对应的p值。图2汇报了安慰剂检验结果。结果表明,回归系数的核密度分布接近期望为零的正态分布,而且p值多大于0.1,表明在10%水平下虚假的回归系数不显著。表明本文的基准模型的回归结果没有受到其他未观测到的随机因素的影响,本文前述的结论是可靠的。
图2 安慰剂检验

(三)异质性分析
由于不同规模的上市公司实力和技术水平等方面存在差异,环境保护税对绿色技术创新的影响也会因此出现差异。本文按照所选样本上市公司总资产的中位数将样本分成大规模企业和小规模企业两组,考察环境保护税影响的规模异质性。由表4可知,对于大规模企业,环境保护税能够显著促进其绿色专利申请数量,但是对于小规模企业促进作用不显著。这可能是大规模企业拥有更强的资金实力和更积极的绿色技术创新意愿,因而环境保护税对其具有显著影响效应。
同样,考察公司产权的异同是否会造成环境保护税政策作用发生变化。本文将样本分为国有企业和非国有企业两类,进行分组检验环境保护税政策的效果。由表4可知,环境保护税的开征能够显著促进国有企业的绿色专利申请量的提升,但对非国有企业的绿色专利申请量没有产生显著的作用。这可能是因为国有企业有更强的动力进行绿色技术创新以满足环境规制的要求。
按照地区税率是否提升来考察环境保护税是否对企业绿色技术创新有异质性的影响,本文借鉴金友良等(2020)的做法进行划分(1)。可以发现,不管税率提高与否,两个样本组的估计系数均显著为正。这可能是因为,重污染行业的公司在面对更刚性和严厉的环保税政策时,即使当前短期内税率不变,在长期政府也可能为了实现预期的环境目标而提高税率,重污染公司也预期到实现环境友好才能在市场竞争中获得长足的发展,因而选择加大对绿色技术的研发创新,以此占据市场先机。
表4异质性分析
| 公司规模 | 公司产权 | 地区税率 | |||
| 大规模 | 小规模 | 国企 | 非国企 | 税率平移 | 税率提高 |
pollut×Time | 0.181*** | 0.053 | 0.212*** | 0.06 | 0.156*** | 0.105** |
控制变量 | (0.05) | (0.036) | (0.052) | (0.04) | (0.046) | (0.045) |
年度固定效应 | YES | YES | YES | YES | YES | YES |
企业固定效应 | YES | YES | YES | YES | YES | YES |
常数项 | -0.763 | -1.935*** | -2.490** | -2.308*** | -1.024 | -1.967*** |
| (0.869) | (0.599) | (1.053) | (0.651) | (0.777) | (0.715) |
观测值 | 10016 | 9799 | 7937 | 11342 | 8266 | 11549 |
R2 | 0.182 | 0.055 | 0.195 | 0.117 | 0.138 | 0.143 |
(四)中介效应检验
本文分别将研发资金投入和研发人员数量作为中介效应变量,表5为研发投入的中介效应检验结果。研发资金投入全样本回归模型中pollut×Time交互项在1%的水平下显著为正,可以得出环境保护税开征之后,公司面临着更严格的环保法规的压力,所以公司选择增加研发资金的投入提升绿色技术创新水平来应对政策改革,这一结果与本文的预期是一致的,也与现有研究的结论相符(蒋伏心等,2013)。进一步考虑公司规模可能会对结果产生异质性的影响,结果显示环境保护税的开征所带来的研发投入的增加主要体现在大规模公司。
以研发人员数量作为中介效应变量进行回归中,全样本回归结果中,pollut×Time交互项在10%的水平下显著为正,表明环境保护税的开征会通过提高研发人员数量来提高技术创新能力。进一步按照公司规模的大小划分为两组样本,结果显示环境保护税的开征所带来的研发人员数量的增加主要体现在大规模公司,小规模公司的回归系数并不显著。
上述研究结果表明环境保护税会促进上市公司提高研发资金和研发人员的投入,进而对绿色技术创新产生影响,本文的假设2得证。
表5环境保护税对研发投入的影响
| 研发资金投入 | 研发人员数量 | ||||
| 全样本 | 大规模公司 | 小规模公司 | 全样本 | 大规模公司 | 小规模公司 |
| lnRD | lnRD | lnRD | lnRDP | lnRDP | lnRDP |
pollut×Time | 0.132*** | 0.275*** | -0.02 | 0.053* | 0.087** | 0.014 |
| (0.038) | (0.059) | (0.042) | (0.028) | (0.044) | (0.035) |
控制变量 | YES | YES | YES | YES | YES | YES |
年份固定效应 | YES | YES | YES | YES | YES | YES |
企业固定效应 | YES | YES | YES | YES | YES | YES |
常数项 | 12.800*** | 13.384*** | 13.706*** | 1.750*** | 3.389*** | 0.646 |
| (0.465) | (0.757) | (0.623) | (0.556) | (0.757) | (0.629) |
观测值 | 17392 | 8873 | 8519 | 15268 | 7999 | 7269 |
R2 | 0.44 | 0.392 | 0.378 | 0.365 | 0.276 | 0.358 |
六、结论与建议
(一)主要研究结论
第一,环境保护税实施对于重污染上市公司的绿色技术创新水平有显著正向作用,主要是通过绿色实用新型专利数量的提升来实现的,而对绿色发明专利表征的绿色技术创新水平质量提升作用不显著。从作用机制来看,环境保护税能够通过促进企业加大研发人员投入和研发资金投入的传导路径进而驱动企业绿色技术创新水平提升。
第二,环境保护税开征的政策效应对公司的绿色技术创新影响效应存在异质性。从企业的规模大小来看,环境保护税有效地推动大规模重污染公司的绿色技术创新,但对小规模重污染公司影响不显著。从企业产权性质来看,在环境保护税的规制下,国有重污染企业会积极地进行绿色创新的研发,但对非国有重污染企业的激励作用不显著。从地区来看,不论该地区是税负平移还是税率提升,环境保护税都促进了重污染上市公司的绿色研发水平。
(二)政策建议
第一,适当提升环境保护税税率水平,逐步扩大污染物征收范围。推进环境保护税改革,对税率标准进行合理上调,考虑到过高的税率标准也会给企业造成较严重的成本负担,应当循序渐进逐步提高税率水平,通过税率提升倒逼企业加大绿色技术创新投入,提升绿色技术创新水平。另外,我国的环境保护税征收范围存在过于狭窄的问题,当前只对常规的污染物进行了限制,仍存在其他具有破坏生态环境的污染物未纳入其中,因此应当根据实际情况,逐步扩大征收范围,将二氧化碳等排放物纳入排放体系,更好地督促企业进行节能减排,推动我国“双碳”目标实现。
第二,依据区域、产权、规模和行业等企业的异质性,采取差异化的环境保护税税率。对于处于经济发展水平较高地区、容易获得融资、规模大及国有性质等企业,在提高税率的同时加强监管,引导企业提升绿色技术创新质量。对于小型、非国有和处于经济发展相对落后地区企业,税率提升会带来企业资金压力,对相关企业给予税收返还和环保补助资金等优惠政策,降低企业税务压力和综合成本,提升小规模企业和非国有企业的绿色创新积极性。
第三,完善环境保护税配套措施,缓解企业绿色技术创新的资金压力。正如前文提及的研发投入与企业创新之间息息相关,研发过程需要投入大量的人力物力财力,政府有关部门应该完善绿色技术创新相关的补贴制度,健全市场融资机制和税收等支持体系,针对绿色技术创新进行专项研发补助,缓解企业绿色创新的资金约束,对绿色技术创新有重大贡献企业进行奖励,营造良好绿色技术创新生态环境,以绿色技术创新推动新质生产力加快形成。
参考文献
1.李青原,肖泽华.异质性环境规制工具与企业绿色创新激励——来自上市企业绿色专利的证据[J].经济研究,2020,55(09):192-208.
2.于连超,张卫国,毕茜.环境保护费改税促进了重污染企业绿色转型吗?——来自《环境保护税法》实施的准自然实验证据[J].中国人口·资源与环境,2021,31(05):109-118.
3.张国兴,冯祎琛,王爱玲.不同类型环境规制对工业企业技术创新的异质性作用研究[J].管理评论,2021,33(01):92-102.
4.赵爱武,杜建国,关洪军.环境税情景下企业环境技术创新模拟[J].管理科学,2016,29(01):40-52.
5.张彩云,吕越.绿色生产规制与企业研发创新——影响及机制研究[J].经济管理,2018,40(01):71-91.
6.骆海燕,屈小娥,胡琰欣.环保税制下政府规制对企业减排的影响——基于演化博弈的分析[J].北京理工大学学报(社会科学版),2020,22(01):1-12.
7.张成,陆旸,郭路,于同申.环境规制强度和生产技术进步[J].经济研究,2011,46(02):113-124.
8.李香菊,贺娜.地区竞争下环境税对企业绿色技术创新的影响研究[J].中国人口·资源与环境,2018,28(09):73-81.
9.相瑞兵,田成诗,张焰朝.环境规制与企业研发投入:挤出抑或诱发——来自二氧化硫排污费征收的经验证据[J].中国环境科学,2023,43(12):6803-6816.
10.程博,熊婷,殷俊明.他山之石或可攻玉:税制绿色化对企业创新的溢出效应[J].会计研究,2021(06):176-188.
注释
(1)税率提高的地区包括如下12个省份:河北、江苏、山东、河南、湖南、四川、重庆、贵州、海南、广西、山西、北京,税负不变的地区包括如下:湖北、浙江、福建、吉林、安徽、江西、陕西、甘肃、新疆、西藏、宁夏、青海、内蒙古、黑龙江、云南、辽宁、天津、上海、广东。
热点文章推荐
相关文章推荐