摘要:当前中国经济正面临人口老龄化、少子化的挑战,区域协调发展需要追求人口质量和配置红利这一长期、全局目标。文章结合党的二十届三中全会精神,从空间政治经济学的视角出发,指出在地方政府具有短期、局部发展的倾向下,人口流动带来的空间外部性以及户籍制度对流动人口享受公共服务的限制,阻碍了人口质量和配置红利有效实现,需从更新观念和深化改革两方面进行解决。一方面,应在观念上认识到在集聚中走向平衡、在集聚中提升教育回报激发教育需求的重要性,以及应对随之而来的人口流出地和流入地的教育供需分化问题;另一方面,在实践中应加强中央政府的协调作用,克服空间外部性,并建立同人口变化相协调的基本公共教育服务供给机制,实现人口质量和配置红利的双赢。
基金:国家自然科学基金专项项目“超大规模市场的动态均衡理论与量化方法研究:结构转型与改革路径”(项目编号:72342035);国家自然科学基金面上项目“大数据视野下的城市空间结构与有效治理”(项目编号:72073094)
关键词:人口质量;空间政治经济学;区域协调;空间外部性;公共教育
作者简介:陆铭,上海交通大学安泰经济与管理学院教授、中国发展研究院执行院长、中国城市治理研究院研究员、博士生导师。*杨潇,上海交通大学安泰经济与管理学院博士研究生。
一、引言
随着经济增速放缓,人口老龄化和少子化程度不断加深,中国急需寻找经济增长新动能。党的二十届三中全会提出,要“实现资源配置效率最优化和效益最大化”(中共中央,2024),这需要促进生产要素畅通流动,提高资源空间配置效率。在经济和人口空间格局发生重大变化的趋势下,对于区域协调发展而言,要“在集聚中走向平衡”(陆铭等,2019),即在生产要素合理流动和高效集聚的过程中实现地区间人均意义上的平衡发展。在人口战略上,为了应对人口老龄化和少子化趋势,需从过去追求人口数量红利,转变为追求人口质量和配置红利。
然而,实现人口质量和配置红利的过程充满了挑战,这不仅涉及人口流动下的区域资源优化配置问题,同时还涉及央地关系和地方政府间关系下的公共资源配置问题,并在投入回报具有长期性和空间外部性的公共教育资源配置上表现突出,需要从空间政治经济学的视角进行分析(陆铭,2017)。从理论上看,畅通人口流动,提高人口配置效率,让人从低劳动生产率地区顺利迁移至高劳动生产率地区,不仅可以在当期提高流动者的教育回报,还为潜在流动者带来高的教育回报预期,激发教育需求,提升未来流动人口质量,进而促进经济高质量发展(张翕、陆铭,2019)。但在现实中,人口流动一边带来空间外部性,一边受到制度性约束。具体来说,对于人口流出地而言,教育投入发生在当地,但教育投资的效益会随人的迁移溢出到外地,即产生教育投资的“空间外部性”,这会削弱人口流出地政府的教育投资激励,限制流出地教育质量提升。对于人口流入地而言,大量外来人口所需的教育等公共服务给当地政府带来了相应公共支出的压力,而流动人口的高流动性又使得对这一人群的公共服务支出产生了回报的不确定性。于是,流动人口在为当地经济发展作出贡献的同时,在公共服务方面却受户籍制度限制,难以享有同迁入地户籍人口同等的权利,这就降低了其子女接受优质教育的机会,限制了流动人口随迁子女受教育质量的提升。这种状态反过来又影响流动人口长期定居流入地的意愿,并进一步削弱流入地政府投入教育等公共服务的激励,形成了提升人口质量和配置红利的困局。
为破解人口质量和配置红利实现过程中的困局,党的二十届三中全会提出“优化区域教育资源配置,建立同人口变化相协调的基本公共教育服务供给机制”(中共中央,2024)。为实现这一目的,需要加强对人口流动过程中不同地区教育需求分化的认识,明确现代经济发展对教育质量提出的新要求。在具体实践上需要加强顶层设计、总体谋划,发挥好中央政府的积极协调作用。
二、中国区域协调发展的走向:追求人口质量和配置红利
在人口老龄化和少子化趋势下,党的二十届三中全会提出了一系列积极的应对举措,“以应对老龄化、少子化为重点完善人口发展战略,健全覆盖全人群、全生命周期的人口服务体系,促进人口高质量发展”(中共中央,2024);在教育方面,提出“加快建设高质量教育体系”(中共中央,2024)以提升人口质量。同时,在城乡和区域协调发展方面,更为自由的人口流动可以同时提高人口质量和配置红利。
(一)应对老龄化和少子化的挑战
近年来,中国老龄化和少子化程度不断加深,对中国劳动力总量的增长形成制约,人口红利对经济增长的积极作用逐渐消退。据第七次全国人口普查数据显示,2020年中国60岁以上人口占比18.7%,65岁以上人口占比13.5%,到2023年,这些占比分别提升至21.1%和15.4%(1),几乎是国际定义步入人口老龄化阶段数值的两倍,老龄化问题凸显。同时,从出生率来看,2020年全国育龄妇女总和生育率为1.3(2),在低出生率趋势下,2022年和2023年中国人口出现负增长。过去依靠人口红利在发展上获得规模和成本优势的有利条件正在逐渐消退。
人口老龄化和少子化的问题需要结合普遍规律和中国国情加以应对。中国的人口老龄化问题呈现出快速老龄化和未富先老的特征(张翕、陆铭,2022),对完善社会保障制度、促进产业转型升级、维持经济增长等带来巨大的挑战。对于备受关注的人口少子化趋势,青年人生育意愿低,短期是因为就业和收入增长受到一些负面影响;中期来看,有教育、住房等养育成本高的原因;而长期来看,少子化符合经济发展客观规律,少生优育是家庭收入水平提高后的理性选择。从政策举措上来说,需要减缓人口老龄化、少子化对劳动力总量的负面影响。其中,为在有限的劳动供给下创造尽可能强劲的经济增长动力,当下中国急需提高劳动生产率,需要从依靠人口总量红利向追求人口质量和配置红利转变,构建人力资本大国和畅通要素流动。
在人口质量方面,释放人口质量红利,对于推动中国人均国民总收入增长具有重要意义(闫坤、唐丹彤,2024)。然而根据刘伟和张立元(2020)的测算,中国经济的人力资本质量水平显著落后于发达国家,并且提升速率逐渐放缓。从劳动人口平均受教育年限来看,2020年中国劳动人口25~64岁年龄段中,高中及以上受教育水平的人口占比为36.7%(3),仅为OECD国家平均值的一半。从城乡融合发展的角度来看,提升人口质量的关键在于提高农村孩子的受教育水平。根据王蕾等(Wang et al., 2018)测算,2015年中国城市青少年高中净入学率在97%至100%之间,而农村青少年高中净入学率只在77%至83%之间,城乡差异显著。与此同时,中国还存在大量留守儿童,他们的教育问题对于经济社会长期发展十分重要。根据国家统计局、联合国儿童基金会和联合国人口基金共同发布的报告显示,2020年中国0~17岁儿童中农村和城镇留守儿童分别达到4177万和2516万。(4)由于流入地的户籍限制,留守儿童缺少潜在接受更高质量教育的机会(Sieg et al., 2023),父母陪伴的缺失还会影响留守儿童的身心发育(Zhang et al., 2014)。儿童留守在农村,减少了在城市的生活经历,不利于他们日后在城市的服务业中就业(魏东霞、陆铭,2021)。因此,追求人口质量红利的关键在于农村孩子的教育,特别是留守儿童的教育与关怀。
在人口配置方面,中国的人力资源空间配置红利潜力巨大。虽然中国劳动力总量已经从2015年起逐步负增长,但在城镇化和结构转型中,对经济和社会发展起支撑作用的城镇人口和第二、三产业就业人员仍然是正增长的。2010~2022年,城镇人口从6.7亿增长到9.2亿,增长37.5%,第二、三产业就业人员从4.8亿增长到5.6亿,增长15.6%。当前城乡人均收入差距仍有2.4倍,省间人均GDP和居民人均可支配收入的差距分别为4.23倍和3.42倍。(5)随着新型城镇化的不断推进,人口跨地区迁移将有利于进一步缩小城乡间和地区间人均收入差距,也有利于在统一大市场中优化人力资源配置。
追求人口的质量和配置红利是长期和全局目标,但地方政府行为存在短期和本地倾向,一些地方政府对于外来人口市民化和常住人口公共服务均等化的意义认识不足。特别是,教育的回报是长期的、全局的,但其投入是当下的、本地的。因此,地方政府更追求本地当下的经济和税收增长,对与国家长远发展和民生福祉相关的教育投入仍需加强。在一些大城市,外来人口子女入学门槛较高,大量留守儿童由此产生。这些认识和政策对实现人口的质量和配置红利形成了阻碍,需要从更新观念和深化改革两方面加以破除。
(二)在集聚中走向平衡的必然要求
中国作为发展中大国,区域协调发展的目标在于经济增长和共同富裕,本质上需要兼顾效率和公平。要实现兼顾效率和公平的发展战略,关键在于人口的自由流动(陆铭、向宽虎,2014)。随着人口流动,虽然地区间的经济总量差距有所分化,但在人均意义上的差距是减少的,人口自由流动是实现在集聚中走向平衡的重要举措(陆铭等,2019;Li & Lu, 2021)。同时,人口流动提高了实际教育回报预期,内生激发了人们的教育需求,促进未来更高人力资本水平的人口配置(张翕、陆铭,2019)。
与人口自由流动的“动人”方式相比,是否可以通过依赖转移支付和建设用地向内陆倾斜这类“动钱”的方式来实现区域协调发展呢?在一个大国内部,若地区间各种条件同质化,且不存在生产的规模效应,那么“动钱”的方式既能实现区域间的均匀发展,又能实现人均意义上的均衡,且并不影响总产出。然而在现实中,区域间各种条件差异较大,同时现代经济的规模效应突出,“动钱”式的区域发展政策虽然可以在短期内促进区域均衡发展,但从长期来看存在潜在的效率损失。过去一段时间,为缩小地区间的发展差距,中国在转移支付和建设用地供应等方面向欠发达地区倾斜,有效缩小了地区间差距(徐现祥等,2011),但与此同时带来了资源配置的效率损失。首先,在土地分配上,2003年后偏向中西部的用地指标分配限制了东部地区的发展,使得东部的要素价格上升(陆铭等,2015),影响东部地区竞争力的提高,同时也造成中西部地区土地利用效率的恶化(陆铭、向宽虎,2014;Fang et al., 2022)。其次,在转移支付上,中央政府给予经济欠发达地区大量财政转移支付帮助其发展,然而许多地区将资源投入到当地没有比较优势的产业,只能带来短期的经济增长,降低了长期的整体资源配置效率(陆铭等,2019)。此外,转移支付还伴随着道德风险问题,推高了欠发达地区的负债率,积累下了长期财政金融风险(钟辉勇、陆铭,2015)。
从国际经验来看,通过“动人”的方式让人口集聚与经济集聚相适配,实现人均意义上的平衡,在集聚中走向平衡,是经济体从发展中国家迈向发达国家的普遍规律(World Bank, 2008)。以人口自由流动程度高的美国为例,1980年前大量的跨地区人口流动使得美国区域间发展逐渐收敛,人均GDP差距逐渐缩小(Barro & Sala-i-Martin, 1991),但随着1980年后美国地区间劳动力流动出现停滞和下降(Molloy & Smith, 2019),美国区域间发展收敛速度放缓,甚至在一些地区出现分化的问题(Austin et al., 2018),可见“动人”对区域协调发展的重要性。然而中国人口流动受到制度限制,地区间人均GDP差距远高于美国,中国的人口集聚与经济集聚的适配仍有较大的提升空间。(6)同时大量的研究表明,人口自由流动能提高要素配置效率、促进经济增长(Tombe & Zhu, 2019;Hsieh & Moretti, 2019;Ma & Tang, 2020;Hao et al., 2020)。钟粤俊等(2024)通过构建空间一般均衡模型分析中国城市间要素配置对经济增长的影响,发现降低人口流向大城市的障碍(下降25%)能减少7.3%的城市间收入差距,提高约7%的GDP。基于对人口流动和经济集聚重要性的认识,2019年8月中央财经委员会第五次会议提出“新形势下促进区域协调发展,要按照客观经济规律调整完善区域政策体系,发挥各地区比较优势,促进各类要素合理流动和高效集聚”(人民日报编辑部,2019),并且在党的二十届三中全会中再次强调“把握人口流动客观规律”“促进城乡、区域人口合理集聚、有序流动”(中共中央,2024)。未来的区域发展需要坚持在集聚中走向平衡,进一步增强人口自由流动带来的人口配置红利。
此外,人口配置红利的实现本身还能促进人口质量红利的实现。对于微观个体而言,人口流动是追求美好生活的具体体现,也是提升代际流动性的重要方式(Eckert & Kleineberg, 2024)。通过人口流动实现代际流动性提升的关键在于从流动中获得高教育回报,进而内生激发家庭教育需求并促进家庭教育投资(Anstreicher, 2024)。然而现实中人口流动障碍的存在阻碍着教育回报的顺利实现和教育回报信息的有效传递,不利于人们形成较高的教育回报预期,影响人们的教育参与。因此,提升人口空间配置效率,让人顺利流动到高教育回报率地区,在改善个体生活、促进整体经济发展的同时,也能通过移民网络将外地的教育回报信息传递到来源地,激发来源地人口的教育需求(张翕、陆铭,2019)。在人口空间配置的同时,教育供给端需要统筹优化教育资源的区域配置,以满足人口空间再配置所激发的教育需求和适应不同地区的教育需求分化,从而实现人口配置红利带动人口质量红利提升。
然而在现实中,人口空间再配置速度往往快于政策、制度的调整速度。地方政府因为教育投入的空间外部性以及教育投入产出的长期性,投资教育的积极性不高。在理论上,教育投入产出的长期性与地方发展目标的短期性之间的冲突是比较容易理解的问题,因此,本文接下来重点讨论如何克服教育投入的空间外部性,来实现国家的全局长期发展目标。
三、人口流动与区域公共教育资源配置
实现人口配置红利的过程中会带来空间外部性,影响到地方政府对公共教育资源的配置激励,阻碍人口质量红利的顺利实现。在克服空间外部性问题的基础上,经济发展新阶段也对人口质量提出新要求,公共教育改革具有紧迫性。此外,人口配置过程还使得不同区域教育需求分化,对公共教育资源的区域配置提出新挑战。
(一)人口质量红利与公共教育资源投入
1.人口流动带来的教育投入空间外部性
由于教育所形成的人力资本能够随人携带,本地教育投资会随着人口的流动产生空间外部性,削弱地方政府的教育投入积极性。本文利用人口普查数据计算人口流出率指标,检验了它与地方教育投入的相关关系。在控制了地方经济发展水平和地方自有财力后,我们发现人口流出越多,地方的生均教育支出越低,而空间外部性并不明显的全市固定资产投资则与人口流出率没有相关关系。这意味着,即使地方政府有充足的财力也会因空间外部性而缺少教育投入的激励。现有研究还发现,教育投入的外溢效应使得相邻县之间的教育投入存在替代关系(李世刚、尹恒,2012)。从全社会的角度来看,教育投入空间外部性的存在将使得整体公共教育支出水平低于社会最优水平,阻碍人口质量的提升。不仅如此,由于教育是一项长期事业,短期内对地方经济发展的带动作用有限,地方政府为追求短期利益,而忽视长期发展,在政府支出中表现出财政支出偏向,重视经济建设支出,轻视教育等公共服务支出(傅勇、张晏,2007;尹恒、朱虹,2011;Lu et al., 2018)。
除了人口流动本身所带来的教育投入空间外部性外,由于户籍制度的限制,流动人口在为流入地的发展作出贡献的同时,却难以与本地人享受同样的公共服务,原因在于,由于流动人口的流动性,针对这一群体的财政支出的产出回报存在不确定性,流入地地方政府缺少激励为其提供公共服务,表现为流动人口的随迁子女存在上学难的问题。在政策规定上,流动人口子女可通过办理居住证在流入地上学,但是居住证的办理需要购房或租房合同、劳动合同、社保缴纳证明等,并且一些地区在居住证的基础上还存在积分入学的门槛,客观上使得不少外来人口子女只能留守老家。同时,由于高中入学和高考的户籍限制,不少即使能参加流入地义务教育的随迁子女也早早回流老家,其中一部分因父母没有同时回老家而成为留守儿童。如前所述,在空间外部性影响下,人口流出地政府也缺少教育投入的积极性,回流老家的儿童也较难获得优质的教育机会。(7)
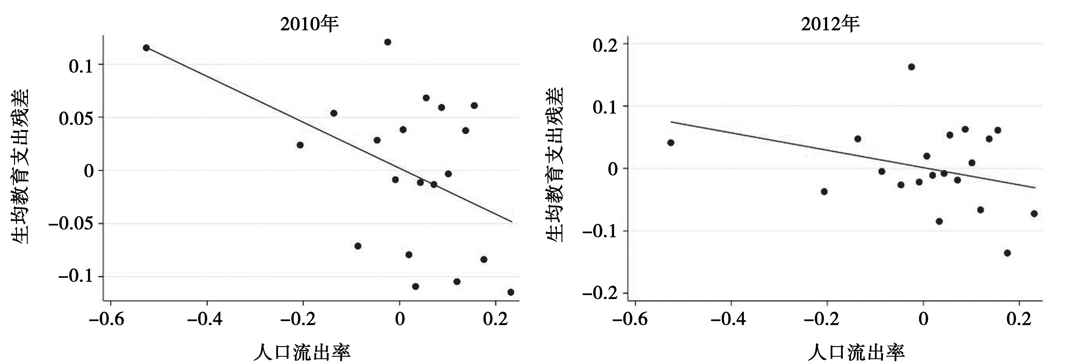
地方政府追求短期、局部的目标与中央政府追求长期、全局发展的目标不一致(陆铭,2023),在公共教育投入上表现得尤为突出。因此,要实现面向未来的区域协调发展,追求人口质量红利,必须加强中央的顶层设计,克服教育投入空间外部性的负面影响。作为教育领域中央协调的典型事例之一,中央政府在2010年提出到2012年实现国家财政性教育经费占GDP比重达到4%的教育目标政策,要求地方政府加大教育投入,并加大中央对欠发达地区转移支付力度。图1展示了上述政策前后人口流出率与控制了地方发展水平和财力水平后的生均教育支出残差的相关关系。在2010年政策实施前,人口流出率与生均教育支出残差呈现显著负相关关系,说明在空间外部性影响下,人口流出地地方政府不愿意加大教育投入,而在政策实施后的2012年,人口流出率与生均教育支出残差的相关关系明显弱化且在统计上变得不显著(8),说明中央政府通过教育投入的顶层设计,有助于改变地方政府的短期、局部倾向,地方政府重视本地短期经济发展而减少教育支出的行为在政策执行期间得以扭转,空间外部性的影响得以缓解。
图1:教育投入目标政策前后人口流出率对生均教育支出的影响

注:人口原始数据来自2010年人口普查数据,教育支出数据来自《中国城市统计年鉴》,图中数据经过了作者的计算。
2. 经济发展新阶段与基础教育改革的紧迫性
实现人口质量红利,除加大基础教育资源的投入外,还需要对基础教育本身进行改革,让人口质量更好服务于经济高质量发展。中国已进入后工业化时代,服务业已成为经济增长的第一动力。然而中国的服务业发展水平仍低于相同人均GDP阶段的发达国家,释放服务业的发展潜力对于中国经济的高质量发展至关重要(钟粤俊等,2020)。
第一,在培养潜在创新人才方面,需要扩大义务教育覆盖范围。大量的经济研究表明,人力资本积累是促进经济发展的重要因素(Glewwe, 2002)。与发达国家相比,我国既存在高精尖人才的培养力度不足问题,也存在高中及以上教育阶段人口占比较低的问题。后者是前者的培养基础,也是流动人口面临的主要教育问题。从数据上看,2010年中国的劳动力中上过高中或职高及以上的比例约为24%,仅为OECD国家的三分之一(Khor et al., 2016)。2020年中国的劳动力中高中及以上学历占比提升至36.7%(9),而同期OECD国家劳动力中高中及以上学历平均占比高达80%(OECD, 2021)。从目前中国基础教育的不同阶段来看,九年义务教育阶段的覆盖率很高。2020年九年义务教育巩固率为95.2%,小学学龄儿童净入学率为99.96%,初中阶段毛入学率为102.6%。(10)相较而言,2020年高中阶段毛入学率为91.2%,2022年提升至91.6%(11),高中入学率还有很大的提升空间,特别是欠发达地区和农村地区。随着城镇化进程的加快和人口从欠发达地区向发达地区的持续流动,农村和欠发达地区的人力资本将影响到经济的长期发展。从国际经验来看,提高高中入学率,增加高中受教育年限的人群占比对于经济转型和跨越“中等收入陷阱”十分重要(Wang et al., 2018)。因此当下中国公共教育提升人口质量的重点之一在于普及高中阶段教育,为建设人力资本大国打下坚实基础。
第二,相比于制造业,服务业发展更需要社会交往技能,这就需要教学内容改革和加快外来人口市民化进程。制造业就业从2015年以来呈现负增长的态势,并且机器还在进一步替代制造业就业(王永钦、董雯, 2020;闫雪凌等,2020)。与此同时,随着城镇化进程加快和服务业的发展,越来越多的人进入到服务业就业,与人打交道的能力的重要性愈发凸显,这不仅需要学校教育内容的转变,还需要积极推进城镇化和外来人口市民化进程。研究发现,移民通过较早进城在青少年时期积累城市生活经验,可以提升其非认知能力,增加其进入现代服务业就业的概率,改善其劳动力市场收入(魏东霞、陆铭,2021)。因此,在人口流入地提高教育支出,增加外来人口的教育机会,不仅有利于推进城镇化和外来人口市民化进程,还能够在此过程中实现潜在移民尽早进城,适应服务业就业占比越来越高的技能需要。
(二)人口配置红利与公共教育资源区域配置
当前中国区域发展一大特征是人口流出地和人口流入地的分化,人口空间布局调整呈现出大集聚和小集聚的双重趋势(陆铭等,2023)。一方面,在大的区域范围上人口向沿海地区和区域性大城市不断集聚,呈现大集聚;另一方面,在较小范围的区县层面,人口从外围区县向中心城区集聚,呈现小集聚。人口流动的同时带来了教育需求的区域分化。公共教育资源配置不仅是一个总量问题,更是一个空间问题。公共教育资源配置需要顺应人口变化趋势,避免出现空间错配,阻碍人口质量和配置红利的建立与释放。
1.人口流出地的教育供需变化
从需求来看,人口流出地的教育需求存在区域内部分化、增减并存的特点。总体来看,人口流出使得流出地人口总量降低,总体教育需求降低,一些地区出现教育资源供给过剩的现象。然而,从区域内部结构来看,人口流出地的教育需求呈现出“集中式收缩”的现象。尽管一些地区(如东北)在人口总量上呈现下降趋势,但流出地部分县城和中心城区的人口规模依然呈现正增长,教育需求不断增加。与此同时,在人口流入地,特别是特大城市,仍具有较高的落户门槛和入学门槛,并非所有儿童都能随父母迁移并接受公共教育,客观上使得人口流出地仍存在突出的留守儿童问题,他们的教育需求仍需得到有效保障。因此,适配流出地人口教育需求分化和保障流出地留守儿童教育需求对于促进人力资本积累和实现教育公平具有重要意义。
从供给来看,人口流出地的教育供给面临财政压力、激励缺失和规模效应削弱三重挑战。第一,人口总量的下降直接影响人口流出地的财政收入增长,加大流出地的财政压力。由于流出人群主要是青壮年,更多的老年和儿童群体留在当地,加大了流出地政府的社会保障和教育负担。第二,如前文所述,人口流动会带来教育投入的空间外部性,降低地方政府的教育支出激励,表现为人口流出率越高的地区政府生均教育投入越低。第三,人口流出还影响规模效应的发挥,削弱教育投入质量。在给定生均支出的情况下,由于学生数量的减少,规模效应难以有效发挥,难以支撑高质量的教学设施购买、维护和教师人员支出。例如,在北方,冬季取暖是规模经济效应非常强的公共品,如果学校的运营经费按学生数量拨付,那么当学生数量降低到一个门槛值时,学校的支出难以维持正常运转。
为解决人口流出地的教育供需匹配问题,应优化配置人口流出地区域内部教育资源。既需要“增强基本公共服务均衡性和可及性”(中共中央,2024),同时也需要“按照常住人口规模优化基本公共服务设施布局”(12)。在人口集中和具有增长潜力的地区,加大教育资源的投入,提高生均教育支出水平,并通过集中办学的方式充分发挥规模效应,改善教学质量,提高教育资源的均衡性。对于人口持续流出的地方进行减量规划,避免教育资源等公共服务出现大量闲置,造成财政资源的浪费。(13)同时考虑教育资源的可及性,对于人口持续减少和偏远地区的学生,可通过提供校车、住宿补贴等方式,让学生到集中办学地就学或到县城就学,兼顾教学质量和教育机会公平。
2.人口流入地的教育供需变化
劳动力选择流向某个城市,不仅为了获得该城市更高的工资水平和更多的就业机会,而且还为了享受该城市的基础教育和医疗服务等公共服务(夏怡然、陆铭,2015)。随着大城市流动人口规模的不断扩大,随迁子女的增加推动了流入地的就学需求上升。但在现实中,随迁子女在流入地的就学需求并没有得到有效满足。从第七次全国人口普查数据来看,2020年流动人口占本地人口平均比例约为27%,而同期小学教育在校生人数中随迁子女占比只有13.5%,到初中这一占比降为11%,到了高中这一占比低至6.5%。(14)流动人口子女教育需求没有得到及时有效的回应和满足与户籍制度、居住证办理门槛高等因素有关。首先,基于本地户籍的管理思路,许多城市并未将流动人口的需求充分纳入公共服务预算中,流动人口的增加并未同步带来相应的教育资源供给增长。其次,在入学门槛上,随迁子女在流入地上学面临办理居住证上学、积分上学、落户入学等门槛,并且流动人口群体容易受到特大城市人口调控政策的影响(陈媛媛、傅伟,2023)。较高的入学门槛降低了流动人口随迁子女教育资源的可获得性,提高了流动人口家庭儿童留守的概率(魏东霞、谌新民,2018)。即使能够在流入地就读小学,流动人口子女在未来还面临着异地中考和异地高考等限制,难以在流入地接受长期的教育,甚至无法接受完整的义务教育。研究发现,城市异地中考的门槛越高,流动人口子女在面临中考时留守的概率越高(陈媛媛等,2024)。在预期到难以在流入地参加中高考后,流动人口家庭为了让子女获得进一步的教育机会,不得不让子女回流到户籍所在地就读初中或高中,以获取考试资格和提前适应教学节奏与考试内容。这就回答了为什么中小学入学门槛不断调低,但留守儿童数量仍然庞大的问题。流动人口子女教育需求没有得到有效满足不仅限制了流动人口子女获得高质量教育的机会,影响其人力资本积累潜力,还降低了流动人口家庭在流入地的消费意愿(梁文泉,2018;邹月晴等,2023)。
流动人口在流入地的教育需求难以得到满足,归根结底是流入地教育资源供给的不足。在外来人口不断增加的同时,流入地的转移支付、建设用地指标等资源并没有随着外来人口增加而同步增加。在给定财政资源配置和户籍制度下,流入地政府主要考虑本地经济发展和优先保障本地户籍居民公共服务供给,缺少激励为投入回报不确定的流动人口群体提供公共服务。因此,要有效地解决这一问题不能仅靠地方政府转变发展和服务观念,更需要中央政府进行区域间的协调,促进各项要素的合理流动,在人口流入地增加相应的土地供应和转移支付,“推动相关公共服务随人走”(中共中央,2024)。同时也需要更高层面推动跨区域招生政策的改革,促进不同地区的招生名额与人口流动变化相一致。
3.教育资源配置的连带效应
人口流动同时塑造了人口流入地和流出地的教育供需新变化,而教育资源的空间再配置将影响人们的流动收益和预期,引发人口流动变化,进而对经济增长产生相应影响。
在教育资源投入总量问题上,尽管中央政府向人口流出地给予转移支付,有助于在一定程度上缓解教育投入的空间外部性问题,促进人口流出地加大教育投入。但若人口流出地的人口流动趋势并没有被逆转,人口流出地的学生数量依然在逐渐减少,均等化的教育投入政策可能带来潜在的教育资源错配问题。埃克特和克莱因伯格(Eckert & Kleineberg, 2024)构建了个体基于本地收入回报和本地教育成本进行教育选择的动态空间一般均衡模型,分析美国教育支出均等化政策对代际流动性和经济增长的影响。数值模拟结果发现给定财政资源下的教育支出均等化政策有效缩小了美国不同县之间的学生教育产出差异,但降低了经济总产出。其机制在于教育支出均等化政策削减了高生产率地区的教育资金,提高了高生产率地区的教育成本,引发人口的动态迁移。在一般均衡效应下,减少了高生产率地区的高教育水平劳动力供应,产生教育资源投入与高教育水平劳动力需求的空间错配问题,削弱了政策的有效性,并且作者在替代性政策分析中发现,通过住房供应的扩张促进人们流动到教育产出较高地区,能在不降低总产出的情况下改善代际流动性。在中国背景下,黄子彬和张俊森(Huang & Zhang, 2023)则通过构建具有同伴效应的空间均衡模型,发现放宽户籍制度的入学限制能够促进人口流动、推动教育平等和整体人力资本积累,并且具有高成本效益。考虑上述一般均衡效应,有助于克服简单化的把教育资源投入到人口流出地的“均等化”思维。综合来看,优化区域公共教育资源配置是一项系统性工程,需要考虑人们对政策产生行为反应的基础上兼顾公平和效率,还需要教育、户籍、土地等系列改革的综合配套发力,做到公共资源“钱随人走”。
四、优化公共教育资源区域配置的政策方向
目前中国公共教育资源配置的问题在于总量不足和空间错配,影响人口质量和配置红利的有效释放。优化区域公共教育资源配置一方面需要逐步加大财政投入,另一方面需要顺应人口变化趋势调整公共教育资源布局。
(一)提高上级教育支出责任,优化转移支付分配
目前的政府治理模式和财政关系下,地方政府承担了大量的公共教育支出责任,而教育支出对经济增长的贡献见效周期长且在人口大规模流动下具有空间外部性,此时地方政府对于短期、局部发展的关注与长期、全局的教育资源配置目标产生偏离。要纠正这一偏离问题,需要中央政府的顶层设计和协调,加强对地方政府的激励和约束。对此,党的二十届三中全会中提出“适当加强中央事权、提高中央财政支出比例”(中共中央,2024)。在教育支出上需提高中央教育支出事权和责任,提高统筹的层次和效果,以便根据区域间和区域内部的人口分化情况灵活调整教育资源配置,“建立同人口变化相协调的基本公共教育服务供给机制”(中共中央,2024)。
在人口流入地区,建立随常住人口变动的转移支付分配方式,做到“钱随人走”,保障流入人口与本地户籍人口享有相同的教育权利,增加教育投入和土地供应用于师资招聘、教学设施扩充、校舍建设等。户籍改革方面要平等包容,利于流动,加快推进外来人口市民化,实现未落户常住人口在教育和保障房等方面公共服务均等化。
在人口流出地,需要形成“集中式收缩”的共识(陆铭等,2023),发挥教育投入的规模经济效应,提升教育质量,增加学校撤并地区学生的补助,通过交通和住宿补贴等方式帮助学生进入新的学校就学。在转移支付分配上需要综合考虑外部性和需求变化的影响。首先,可考虑在转移支付分配中根据人口流出大小设立教育流动补偿资金,缓解教育投入的空间外部性影响。其次,针对需求变化,要考虑学校运营的规模效应,在转移支付的分配制度上,不能简单按学生人数计算,还要按学校数量和学生数量改进转移支付的计算公式。在均衡性转移支付分配公式中,需适当提高人口流出地的教育标准财政支出计算额,以补偿人口流出地规模效应的降低。此外,对于人口流出所带来的校舍、操场等闲置用地问题,可通过跨区域占补平衡的调节方式,保障人口流入地的学校建设等新增建设用地需求。
(二)教育投入要多元筹资,积极发挥各方作用
第一,政府在教育资源配置上起到主导作用。如前所述,需要提高上级教育支出责任,增加人口流入地的教育投入量,并发挥学校的规模效应提高教育的投入产出效率。人口流入地还可以通过发行专项债来增加与新增随迁子女数量相适应的教育投入。第二,民间投入的民办教育是对公办教育的有效补充。在当前财政压力不断凸显的情况下,积极引导并发挥好民办教育的作用,既能分担公共财政支出压力,也能灵活满足流动人口的教育需求变化。为促进教育公平,保障不同群体入学的机会,教育部曾提出要增加随迁子女入公办学校的比例。(15)然而一些地区仅简单禁止或关闭民办学校,造成外来人口随迁子女失学或成为留守儿童。因此,需要修改完善有关地方政府义务教育公办入学比例的考核机制,在大量人口流入且公办教育资源不足的地区,通过民办公助的模式及时满足外来人口随迁子女的教育需求。第三,通过企业捐赠、政府补助和政策优惠发挥慈善机构和公益组织的作用。例如,在学校教育以外,通过公益慈善组织开展兴趣教学等活动,为留守儿童、缺少父母陪伴的随迁子女等提供交流互动的场所,既能与学校教育形成互补,又能弥补家庭教育投入不足的局限。
(三)加强教育资源的预期管理,实现教育资源与人口变化的动态调整
党的二十届三中全会提出要“增强改革系统性、整体性、协同性”以及“健全预期管理机制”(中共中央,2024)。优化区域公共教育资源配置不能仅看人口变动单一变量,还需要综合关注影响人口变动的相关变量和制约因素。尽管目前面临少子化趋势,但不同地区人口流动差异大,并且随着户籍限制的逐步放松和取消,人口流入地依然具有学龄儿童增加的潜力和实际需求。因此,地方教育资源规划还要充分考虑系列改革后外来人口和本地人口的变化趋势,避免只顾当期和局部变化造成后续公共教育资源不足或过剩问题。反过来看,推动相关系列改革也有助于解决当下的教育资源匹配困境。一些人口流入地区在本地新增学生数少于本地学位供给的情形下,顺势推动户籍制度改革,放松对外来人口随迁子女的入学限制,既能避免教育资源的闲置与浪费,还能促进外来人口市民化进程。
同时,需要加强对于流动人口最新政策的宣传和普及力度,修正流动人口的流动、定居和就学预期。改革的目的是为了增进人民的福利,而新政策的有效性不仅在于政策内容本身,还在于政策实施对象的有效了解和参与。尽管未来的改革方向在于弱化户籍制度与公共服务的挂钩,推进“与居住年限相挂钩的非户籍人口基本公共服务提供机制”(16),在未来增加流动人口子女在常住地接受教育的机会,然而作者在调研中发现,外来人口对于政策的内容和改革方向并不了解,一些外来人口甚至连居住证都没有办理。对于政策信息的不了解,一方面会使得实际符合政策条件的群体在政策推行过程中缺少必要准备,难以及时顺利地享受到政策的好处,影响其子女的入学计划;另一方面,不利于流动人口修正并形成融入流入地和享受当地公共服务的稳定预期。因此,需在相关改革的推进过程中,加强流动人口的预期管理,宣传和普及最新的政策动向,以提高政策实施效果。
(四)普及高中阶段教育,建设人力资本大国
当下义务教育普及较为全面,而高中阶段教育的普及仍有较大提升潜力。从国际经验来看,高中学历人口占比的提升是迈向高收入国家的重要条件之一(Khor et al., 2016)。党的二十届三中全会中已明确提出“探索逐步扩大免费教育范围”(中共中央,2024)。除了人们关注的促进学前教育普及普惠发展外,未来应将普及高中阶段教育,并进一步实施十二年义务教育作为建设人力资本大国的重要手段。与此同时,也需重视同属高中阶段教育的中等职业教育,允许和鼓励跨地区招生(张翕、陆铭,2022)。2023年的高中阶段教育在校生人数中,有近33%属于中等职业教育。(17)与普通高中教育相比,中等职业教育的就业导向性更强,可以满足需要迫切改善收入的家庭,特别是流动人口家庭的教育需求。同时现代产业集聚在大城市及其周边,通过拓展与之相适配的中等职业教育布局,加强校企合作与产教融合,有助于提高职业教育质量,适配企业的用工需求和提高就业质量。
(五)顺应服务业就业占比提升趋势,各级教育要更注重培养人际互动能力
当前中国经济已经进入到服务业占比越来越高的阶段,2022年服务业就业占比高达47.1%,远超制造业就业占比的28.8%(18),而服务业特别需要人际互动能力的培养。党的二十届三中全会提出要“完善支持服务业发展政策体系”(中共中央,2024)。在公共教育的培养中,应重视人际互动能力的培养,包括理解力、表达力、沟通力、协调力等,同时加强学生的心理知识教育与辅导。特别是加强对人口流出地留守儿童和流入地随迁子女等缺少家庭教育资源、社会互动环境或面临社会融入障碍的学生的人际互动能力培养和心理帮助,促进学生的全面发展。
参考文献
陈媛媛、傅伟,2023:“特大城市人口调控政策、入学门槛与儿童留守”,《经济学(季刊)》,2023,1:91—107。
陈媛媛、邹月晴、宋扬,2024:“异地中考门槛与流动人口子女的留守”,《经济学(季刊)》,2024,1:119—135。
傅勇、张晏,2007:“中国式分权与财政支出结构偏向:为增长而竞争的代价”,《管理世界》,2007,3:4—12+22。
李世刚、尹恒,2012:“县级基础教育财政支出的外部性分析——兼论‘以县为主’体制的有效性”,《中国社会科学》,2012,11:81—97+205。
梁文泉,2018:“不安居,则不消费:为什么排斥外来人口不利于提高本地人口的收入?”,《管理世界》,2018,1:78—87+191—192。
刘伟、张立元,2020:“经济发展潜能与人力资本质量”,《管理世界》,2020,1:8—24+230。
陆铭,2017:“城市、区域和国家发展——空间政治经济学的现在与未来”,《经济学(季刊)》,2017,4:1499—1532。
——2023:“大国治理——高质量发展与地方间竞争的空间政治经济学辨析”,《经济社会体制比较》,2023,3:94—103。
陆铭、李鹏飞、钟辉勇,2019:“发展与平衡的新时代——新中国70年的空间政治经济学”,《管理世界》,2019,10:11—23+63+219。
陆铭、向宽虎,2014:“破解效率与平衡的冲突——论中国的区域发展战略”,《经济社会体制比较》,2014,4:1—16。
陆铭、向宽虎、李鹏飞、李杰伟、钟粤俊,2023:“分工与协调:区域发展的新格局、新理论与新路径”,《中国工业经济》,2023,8:5—22。
陆铭、张航、梁文泉,2015:“偏向中西部的土地供应如何推升了东部的工资”,《中国社会科学》,2015,5:59—83+204—205。
人民日报编辑部,2019:“习近平主持召开中央财经委员会第五次会议强调推动形成优势互补高质量发展的区域经济布局发挥优势提升产业基础能力和产业链水平”,《人民日报》,2019-08-27。
王永钦、董雯,2020:“机器人的兴起如何影响中国劳动力市场?——来自制造业上市公司的证据”,《经济研究》,2020,10:159—175。
魏东霞、陆铭,2021:“早进城的回报:农村移民的城市经历和就业表现”,《经济研究》,2021,12:168—186。
魏东霞、谌新民,2018:“落户门槛、技能偏向与儿童留守——基于2014年全国流动人口监测数据的实证研究”,《经济学(季刊)》,2018,2:549—578。
夏怡然、陆铭,2015:“城市间的‘孟母三迁’——公共服务影响劳动力流向的经验研究”,《管理世界》,2015,10:78—90。
徐现祥、王贤彬、高元骅,2011:“中国区域发展的政治经济学”,《世界经济文汇》,2011,3:26—58。
闫坤、唐丹彤,2024:“迈向高收入组别与社会结构转型”,《经济社会体制比较》,2024,3:61—72。
闫雪凌、朱博楷、马超,2020:“工业机器人使用与制造业就业:来自中国的证据”,《统计研究》,2020,1:74—87。
尹恒、朱虹,2011:“县级财政生产性支出偏向研究”,《中国社会科学》,2011,1:88—101+222。
张翕、陆铭,2019:“提高回报激发需求——改善中国农村教育的空间政治经济学”,《学术月刊》,2019,4:54—64。
——2022:“新人口形势下的公共教育供给”,《华东师范大学学报(教育科学版)》,2022,10:65—76。
中共中央,2024:“中共中央关于进一步全面深化改革推进中国式现代化的决定”,《人民日报》,2024-07-22。
钟辉勇、陆铭,2015:“财政转移支付如何影响了地方政府债务?”,《金融研究》,2015,9:1—16。
钟粤俊、陆铭、奚锡灿,2020:“集聚与服务业发展——基于人口空间分布的视角”,《管理世界》,2020,11:35—49。
钟粤俊、奚锡灿、陆铭,2024:“城市间要素配置:空间一般均衡下的结构与增长”,《经济研究》,2024,2:59—77。
邹月晴、陈媛媛、宋扬,2023:“流动人口家庭在流入城市消费不足的制度性约束——基于城区人口100万以上城市随迁子女升学政策的实证分析”,《财经研究》,2023,12:106—120。
Anstreicher,G.,2024.“Spatial Influences in Upward Mobility.” Journal of Political Economy.132(1):149-199.
Austin,B.,E.Glaeser,and L.Summers,2018.“Jobs for the Heartland:Place-Based Policies in 21st Century America.” Brookings Papers on Economic Activity.1:151-255.
Barro,R.J.and X.Sala-i-Martin,1991.“Convergence across States and Regions.” Brookings Papers on Economic Activity.22:107-182.
Eckert,F.and T.Kleineberg,2024.“The Geography of Opportunity:Education,Work,and Intergenerational Mobility Across US Counties.” Minneapolis Fed OIGI Institute Working Paper No.47.
Fang,M.,L.Han,Z.Huang,M.Lu,and L.Zhang,2022.“Place-based Land Policy and Spatial Misallocation:Theory and Evidence from China.” Available at SSRN 3846313.
Glewwe,P.,2002.“Schools and Skills in Developing Countries:Education Policies and Socioeconomic Outcomes.” Journal of Economic Literature.40(2):436-482.
Hao,T.,R.Sun,T.Tombe,and X.Zhu,2020.“The Effect of Migration Policy on Growth,Structural Change,and Regional Inequality in China.” Journal of Monetary Economics.113:112-134.
Huang,Z.and J.Zhang,2023.“School Restrictions,Migration,and Peer Effects:A Spatial Equilibrium Analysis of Children's Human Capital in China.” Available at SSRN 3678300.
Hsieh,C.and E.Moretti,2019.“Housing Constraints and Spatial Misallocation.” American Economic Journal:Macroeconomics.11(2):1-39.
Khor,N.,L.Pang,C.Liu,F.Chang,D.Mo,P.Loyalka,and S.Rozelle,2016.“China's Looming Human Capital Crisis:Upper Secondary Educational Attainment Rates and the Middle-income Trap.” The China Quarterly.228:905-926.
Li,P.and M.Lu,2021.“Urban Systems:Understanding and Predicting the Spatial Distribution of China's Population.” China & World Economy.29(4):35-62.
Lu,M.,L.Xia,and J.Xiao,2018.“Pro-social Leadership Under Authoritarianism:Provincial Leaders' Educational Backgrounds and Fiscal Expenditure Structure in China.” Economics of Transition and Institutional Change.27(1):5-30.
Ma,L.and Y.Tang,2020.“Geography,Trade,and Internal Migration in China.” Journal of Urban Economics.115:103181.
Molloy,R.and C.Smith,2019.“U.S.Internal Migration:Recent Patterns and Outstanding Puzzles.” Federal Reserve Bank of Boston 63rd Economic Conference.
OECD,2021.Education at a Glance 2021:OECD Indicators.Paris:OECD Publishing.
Sieg,H.,C.Yoon,and J.Zhang,2023.“The Impact of Local Fiscal and Migration Policies on Human Capital Accumulation and Inequality in China.” International Economic Review.64(1):57-93.
Tombe,T.and X.Zhu,2019.“Trade,Migration,and Productivity:A Quantitative Analysis of China.” American Economic Review.109(5):1843-1872.
Wang,L.,M.Li,C.Abbey,and S.Rozelle,2018.“Human Capital and the Middle Income Trap:How Many of China's Youth are Going to High School?” The Developing Economies.56(2):82-103.
World Bank,2008.World Development Report 2009:Reshaping Economic Geography.Washington DC:World Bank.
Zhang,H.,J.R.Behrman,C.S.Fan,X.Wei,and J.Zhang,2014.“Does Parental Absence Reduce Cognitive Achievements?Evidence from Rural China.” Journal of Development Economics.111:181-195.
注释
(1)“中华人民共和国2023年国民经济和社会发展统计公报”,https://www.gov.cn/lianbo/bumen/202402/content_6934935.htm。
(2)“第七次全国人口普查数据结果十大看点”,https://www.gov.cn/xinwen/2021-05/11/content_5605879.htm。
(3)数据来源于第七次全国人口普查数据。作者根据分年龄、分受教育程度数据计算。
(4)“2020 年中国儿童人口状况:事实与数据”,https://www.stats.gov.cn/zs/tjwh/tjkw/tjzl/202304/P020230419425666818737.pdf。
(5)数据来源于国家统计局发布的历年统计年鉴。
(6)在进行中美比较时,需要注意二者的发展阶段不同以及制度背景不同。在讨论美国问题时,其基本的制度背景是劳动力原来不存在流动障碍,然后出现了一些劳动力流动下降的现象。而中国的起点是人口流动受到制度限制,逐步走向人口流动越来越自由,随之出现不同地区间人均GDP的收敛。经验证据也表明,美国的城市间人均GDP差距远小于中国,而中国的城市间人均GDP差距正处在收敛过程中(陆铭等,2019;Li & Lu,2021)。
(7)回流儿童还面临缺乏学位、教材切换、融入学校困难、成绩下降等现实问题,限于篇幅本文不再赘述。
(8)显著性的P值为0.172。
(9)为了与OECD国家统计数据相比,这里的劳动力人口年龄段为25~64岁。
(10)教育巩固率与辍学率紧密相关,具体指在特定教育阶段内,完成了某一年级学习的学生人数占这届学生入学时总人数的比例;净入学率是指某学年度某级教育相应学龄在校生数占相应学龄人口总数比例;毛入学率是指某学年度某级教育在校生数(不区分年龄)占相应学龄人口总数比例。“2020年全国教育事业发展统计公报”,http://www.moe.gov.cn/jyb_sjzl/sjzl_fztjgb/202108/t20210827_555004.html。
(11)“2022年全国教育事业发展统计公报”,http://www.moe.gov.cn/jyb_sjzl/sjzl_fztjgb/202307/t20230705_1067278.html。
(12)“国务院关于印发《深入实施以人为本的新型城镇化战略五年行动计划》的通知”,https://www.gov.cn/zhengce/zhengceku/202407/content_6965543.htm。
(13)作者在调研中发现,甚至在同一城市内部也会出现郊区和农村人口减少,教育资源闲置,而中心城区人口不断增长,教育资源不足的现象。
(14)数据来源于中华人民共和国教育部2020年教育统计数据。其中,小学在校生数来源:http://www.moe.gov.cn/jyb_sjzl/moe_560/2020/quanguo/202109/t20210902_557960.html。初中在校生数来源:http://www.moe.gov.cn/jyb_sjzl/moe_560/2020/quanguo/202109/t20210902_557984.html。高中在校生数来源:http://www.moe.gov.cn/jyb_sjzl/moe_560/2020/quanguo/202108/t20210831_556628.html。
(15)“教育部关于印发《县域义务教育优质均衡发展督导评估办法》的通知”,https://www.gov.cn/xinwen/2017-05/23/content_5196093.htm。
(16)“国务院关于印发《深入实施以人为本的新型城镇化战略五年行动计划》的通知”,https://www.gov.cn/zhengce/zhengceku/202407/content_6965543.htm。
(17)“中华人民共和国教育部2022年教育统计数据各级各类学历教育学生情况”,http://www.moe.gov.cn/jyb_sjzl/moe_560/2022/quanguo/202401/t20240110_1099539.html。
(18)数据来源于2023年《中国统计年鉴》。
热点文章推荐
相关文章推荐